Dual proton transport in Schiff base-modified chitosan functionalized with AMPS for fuel cell applications
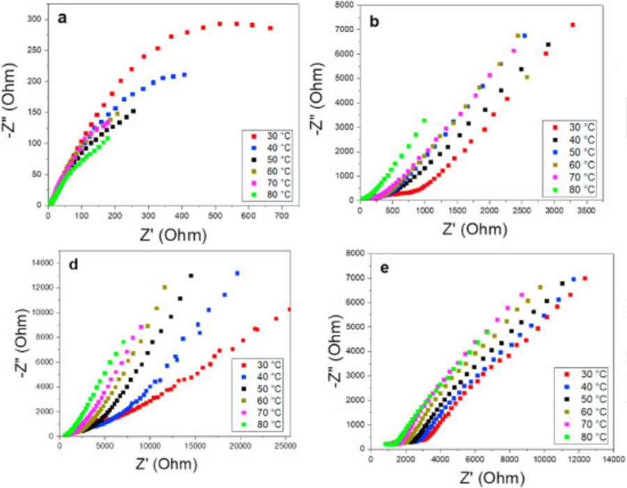
Abstract Proton exchange membranes (PEMs) require high proton conductivity, stability, and durability for fuel cell applications. This study reports the synthesis of N-(2-acrylamido-2-methylpropane sulfonyl) chitosan (CSB) via Schiff base functionalization with 2-acrylamido-2-methylpropane sulfonic acid (AMPS) and the introduction of imine (–CH=N–) and sulfonic acid (–SO3H) groups, which significantly enhance dual proton conduction mechanisms through the […]










